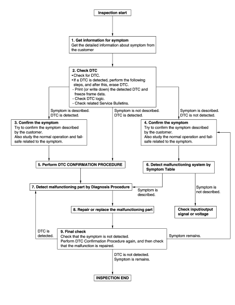
Diagnosis and repair work flow
Work flow
Overall sequence

Detailed flow
1.Get information for symptom
Get the detailed information from the customer about the symptom (the condition and the environment when the incident/malfunction occurred) using the “diagnostic work sheet”. (Refer to ec-129, "diagnostic work sheet".) >> Go to 2.
2.Check dtc in ecm
Are any symptoms described and any DTCs detected? Symptom is described, DTC is detected>>GO TO 3.
Symptom is described, DTC is not detected>>GO TO 4.
Symptom is not described, DTC is detected>>GO TO 5.
3.Confirm the symptom
Try to confirm the symptom described by the customer.
Also study the normal operation and fail-safe related to the symptom. Refer to ec-473, "symptom table" and ec-90, "fail safe".
Diagnosis work sheet is useful to verify the incident.
Verify relation between the symptom and the condition when the symptom is detected.
>> Go to 5.
4.Confirm the symptom
Try to confirm the symptom described by the customer.
Verify relation between the symptom and the condition when the symptom is detected.
>> Go to 6.
5.Perform dtc confirmation procedure
Perform dtc confirmation procedure for the displayed dtc, and then check that dtc is detected again.
If two or more dtcs are detected, refer to ec-93, "dtc inspection priority chart" and determine trouble diagnosis order.
Note:
If the result of Component Function Check is NG, it is the same as the detection of DTC by DTC CONFIRMATION PROCEDURE.
Is DTC detected? YES >> GO TO 7.
NO >> Check ECO mode system. Refer to DMS-20, "Component Function Check".
6.Detect malfunctioning part by symptom diagnosis
Detect malfunctioning system according to Symptom Diagnosis based on the confirmed symptom in step 4, and determine the trouble diagnosis order based on possible causes and symptoms.
Is the symptom described? YES >> GO TO 7.
NO >> Monitor input data from related sensors or check voltage of related ECM terminals using CONSULT.
Refer to EC-77, "Reference Value".
7.Detect malfunctioning part by diagnosis procedure
Inspect according to Diagnosis Procedure of the system.
Is a malfunctioning part detected? YES >> GO TO 8.
NO >> Check intermittent incident. Refer to GI-39, "Intermittent Incident".
8.Repair or replace the malfunctioning part
>> Go to 9.
9.Final check
When DTC was detected in step 3, perform DTC CONFIRMATION PROCEDURE or Component Function Check again, and then check that the malfunction have been completely repaired.
When symptom was described from the customer, refer to confirmed symptom in step 4 or 5, and check that the symptom is not detected.
Is DTC detected and does symptom remain? YES-1 >> DTC is detected: GO TO 7.
YES-2 >> Symptom remains: GO TO 4.
NO >> Before returning the vehicle to the customer, always erase DTC.
Wiring diagram
Dtc/circuit diagnosisP2858 Clutch B Pressure
DTC Logic
DTC
CONSULT screen terms
(Trouble diagnosis content)
DTC detection condition
Possible causes
P2858
CLUTCH B PRESSURE
(Clutch B Pressure Engagement
Performance)
The auxiliary gearbox gear ratio is 2.232 or
more for the auxiliary gearbox 2GR ratio ...
Precaution for Supplemental Restraint System (SRS) "AIR BAG" and "SEAT BELT
PRE-TENSIONER"
The Supplemental Restraint System such as “AIR BAG” and “SEAT BELT PRE-TENSIONER”,
used along
with a front seat belt, helps to reduce the risk or severity of injury to the
driver and front passenger for certain
types of collision. Information necessary to service the system ...
Child safety
WARNINGDo not allow children to play with the
seat
belts. Most seating positions are
equipped with Automatic Locking Retractor
(ALR) mode seat belts. If the seat belt
becomes wrapped around a child’s neck
with the ALR mode activated, the child can
be seriously injured ...